直播课堂
HOME
直播课堂
正文内容
PLC编程引用线圈触点 首先了解一下,PLC输入端口连接元器件
发布时间 : 2026-03-19
作者 : 小编
访问数量 : 23
扫码分享至微信

首先了解一下,PLC输入端口连接元器件

我们都知道PLC是通过输入端口和输出端口与外部元器件和设备进行连接的。输入端口主要接收的是各种元器件向PLC提供的开关量信号、数据量信号。

而输出端口主要是向外部发出开关量信号、数据量信号和脉冲信号去控制外部负载的。

今天的分享让我们先看一下PLC的输入端口连接的元器件吧。对于输入端口连接的元器件,分为无源开关、有源开关和脉冲信号元器件。

我们要了解一下无源开关、有源开关的特点是什么,而什么是脉冲信号元器件,以及这些开关常用的有哪些。

一、无源开关元器件

无源开关的特点是开关本身是不需要电源的,在使用的时候可以直接将开关接入PLC输入回路中就可以了。常用的有按钮开关、旋钮开关、限位开关、和继电器触点等。

(1)按钮开关

按钮开关分为复位型和自锁型。复位型是一按就通,一松就断的;而自锁型开关在按下后能保持状态,直到再次按按钮,按钮才复位回原来的状态。

(2)旋钮开关

旋钮开关也叫选择开关,通常都是位置保持型的,常见的有两位式和三位式两种。这种开关常用于“手动-自动”、“正转-停止-反转”等场合。

(3)限位开关

限位开关又叫行程开关,这类开关用于进行位置状态的检测,和限制机械运动的位置或行程,可以使运动机械在规定的位置自动停止或反转等。

(4)继电器触点

继电器分为电磁继电器和物理量控制继电器两大类,常用的中间继电器和接触器属于电磁继电器。对于这些继电器,有触点有线圈,触点是接到PLC输入接口的。

物理量控制继电器包括有压力继电器、速度继电器、温度继电器、液位继电器等。

各位工控人,点击下方 “进入圈子”,技成电工课堂每天14:30 分享一些干货趣闻,

PLC、电工、变频器、制造业技术人才分享交流!

(此处已添加圈子卡片,请到今日头条客户端查看)

二、有源开关元器件

有源开关的特点是开关本身需要电源,在接线的时候我们需要提供电源。常用的有接近开关、光电开关等。

(1)接近开关

接近开关是无需直接接触就可以操作的一种开关,当检测物体靠近接近开关的感应面一定距离时,就可以使开关动作。接近开关有三种类型,电容式、电感式和霍尔式接近开关。

电容式

电感式

霍尔式

接近开关的应用有哪些呢?

接近开关可以应用于距离检测、尺寸控制、检测物体存在与否、检测异常、转速和速度控制、计数与计量控制等。

(2)光电开关

光电开关是利用物体对光束的遮蔽、吸收或反射等作用,对物体的位置、形状等进行检测的一种开关。光电开关按检测方式可以分为对射式、漫反射式和镜面反射式三种类型。

对射式

漫反射式

镜面反射式

对于光电开关的应用,它可以应用于物体检测、液位检测、行程控制、产品计数、速度监测、尺寸控制、色斑与标记识别等。

三、数据量信号元器件

数据量是指从输入端口输入一组二进制开关量作为一个整体,也就是说从输入端口输入的是一个N位二进制数。常用的数据量输入元器件有拨码开关、数字开关和编码器等。

(1)拨码开关

拨码开关是一组独立的开关。把它们与输入端口顺序连接时,可以组成N位二进制数。二进制数的值由开关的通断状态组合确定。

(2)数字开关

数字开关是一个4位拨码开关组合,占用4个输入端口,拨动开关可以显示十进制数(0~9),把一个用8421BCD码的状态组合送入到PLC。

(3)编码器

编码器是把一个脉冲串或一组高速脉冲串通过输入端口送入PLC,可用于表示定位控制中工件的位置值。

以上就是PLC输入端口连接的元器件,那在下一期,小编继续给大家分享一下PLC输出端口连接的元器件吧~(技成培训原创,作者:蔡慧荥,未经授权不得转载,违者必究!)

⇩ 领取!

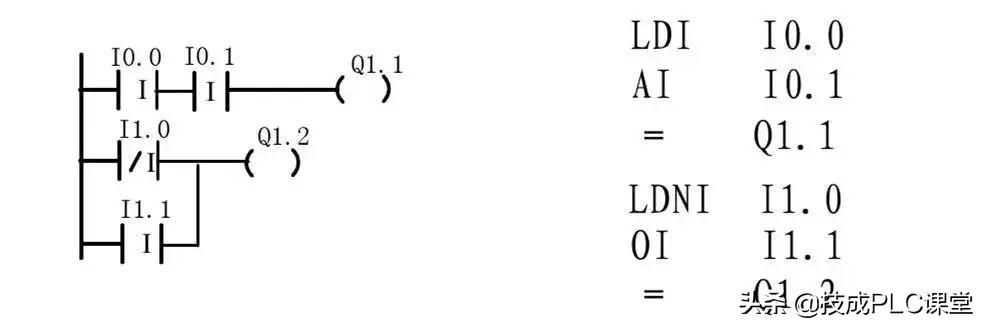
看完这些图,秒懂西门子PLC基础指令

一、触点及线圈指令

PLC梯形图语言的编程原则

梯形图由多个梯级组成,每个线圈可构成一个梯级,每个梯级有多条支路,每个梯级代表一个逻辑方程;梯形图中的继电器、接点、线圈不是物理的,是PLC存储器中的位(1=0N;0=0FF);编程时常开/常闭接点可无限次引用,线圈输出只能是一次;梯形图中流过的不是物理电流而是“概念电流”,只能从左向右流;用户程序的运算是根据PLC的输入/输出映象寄存器中的内容,逻辑运算结果可以立即被后面的程序使用;PLC的内部继电器不能做控制用,只能存放逻辑控制的中间状态;输出线圈不能直接驱动现场的执行元件,通过I/模块上的功率器件来驱动。基本逻辑指令以位逻辑操作为主,在位逻辑指令中,除非有特殊说明,操作数的有效区域为:I、Q、M、SM、T、C、V、S、L且数据类型为BOOL触点和线圈指令又分为:标准指令、立即指令、取反指令、正(负)跳变指令。

二、定时器指令 包括:接通延时定时器(TON)、有记忆的接通延时(保持型)定时器(TONR)、断开延时定时器(TOF)。S7-200有256个定时器(T0~T255)。

三、计数器指令

包括:加计数CTU、减计数CTD和加/减计数CTUD总共有256个(C0~C255)。计数器是对PLC内部的时钟脉冲进行计数,而计数器是对外部的或由程序产生的计数脉冲进行计数。计数器累计计数的当前值(16位有符号整数),它存放在计数器的16位(bit)当前值寄存器中。

每个计数器只有一个16位的当前值寄存器地址。在一个程序中,同一计数器号不要重复使用,更不可分配给几个不同类型的计数器。

以上内容选自网络,侵删

转发是最大的鼓励!谢谢您的支持!

小贴士

PLC专属资料: 含有从入门到高级所有PLC学习资料(三菱/西门子/欧姆龙) ,电气经典18本大全书,历年电气考试真题、电气必备实训仿真软件、电气自动化行业各类型技术手册!

相关问答

plc普通线圈指令是?

LD/LDI取指令,OUT线圈输出指令,AND/ANI触点串联指令,OR/ori触点并联指令,ORB/ANBA块指令,SET/RST置位复位指令,MPS/MRD/MPP堆栈指令,MC/MCR主控主控复...

PLC中为什么输入继电器的线圈不能在程序中出现?

这个题目问的有点怪。我所学的教材里就没有“输入继电器X”这个说法,关于输入一般只提“开关量”输入信号,更没有“输入继电器线圈”之说的。不过就我的理解,...

PLC输出点接继电器线圈的负极么?

不可以,这会带来反馈干扰,并且违反设计原则。可采取的措施:把继电器的辅助触点作为信号输入给PLC的开关量输入点,用以判断继电器的吸合状态。=============...

plc输出怎么接110伏线圈电压?

如果你想将PLC的输出与110V线圈电压连接,你可以按照以下步骤进行:1.确保PLC的输出类型可以接受110V电压。检查PLC的规格书或用户手册,以确定它的输出类型和...

请教下,PLC控制继电器线圈得电,用它的常开触点控制接触器的线圈得电,进而控制电机的话?

继电器的常开触点串入接触器线圈回路里面,控制接触器,不需要接入PLC,如果要反馈继电器的吸合状态的话,用另外一对触点接入到PLC的输入端。继电器的线圈接到P...

plc编程中如何插入中间继电器?

plc输出点一般接继电器线圈;继电器的常开常闭触点可以根据原理图接到PLC输入端;PLC的输出形式一般为晶体管输出之后才会加中间继电器,作用是小电流控制大电流...

PLC如何与常用输入输出电气元件连接?

PLC外表硬邦邦,看起来是个黑盒子,一般厂家只会给出输入输出端子接线图,根据端子接线图就可以了。而电路的本质还是要形成回路,每个输入端对应一个回路,同样...如...

plc能否通过线圈驱动电机?

1.可以通过线圈驱动电机。2.PLC(可编程逻辑控制器)是一种用于自动化控制的设备,它可以通过输出信号控制电机的运行。线圈是PLC中的一种输出元件,可以产生电...

plc中时间继电器线圈的同名常开触点怎么复制下来?

问题不是很清楚,我个人理解问题的含义,是想找出来(时间)继电器对应的触点位置,如果理解有偏差的话答案就可能谬之千里了。具体的操作方式在不同PLC软件中不...

PLC硬件接线如输出端接220V的灯泡,要怎样才能接进PLC中?

PLC输出端接继电器的线圈,继电器的常开触点串联灯泡后接到220伏电源上。PLC输出端接继电器的线圈,继电器的常开触点串联灯泡后接到220伏电源上。

 叶子琪  飞鱼菲尔普斯 
王经理: 180-0000-0000(微信同号)
10086@qq.com
北京海淀区西三旗街道国际大厦08A座
©2026  上海羊羽卓进出口贸易有限公司  版权所有.All Rights Reserved.  |  程序由Z-BlogPHP强力驱动
网站首页
电话咨询
微信号

QQ

在线咨询真诚为您提供专业解答服务

热线

188-0000-0000
专属服务热线

微信

二维码扫一扫微信交流
顶部